रायपुर। पुलिस मुख्यालय रायपुर से आदेश जारी हुआ है। पुलिस नक्सली मुठभेड़ में अदम्य साहस एवं वीरता का परिचय देने पर आज 99 पुलिसकर्मियों को आउट ऑफ टर्न प्रमोशन दिया गया।
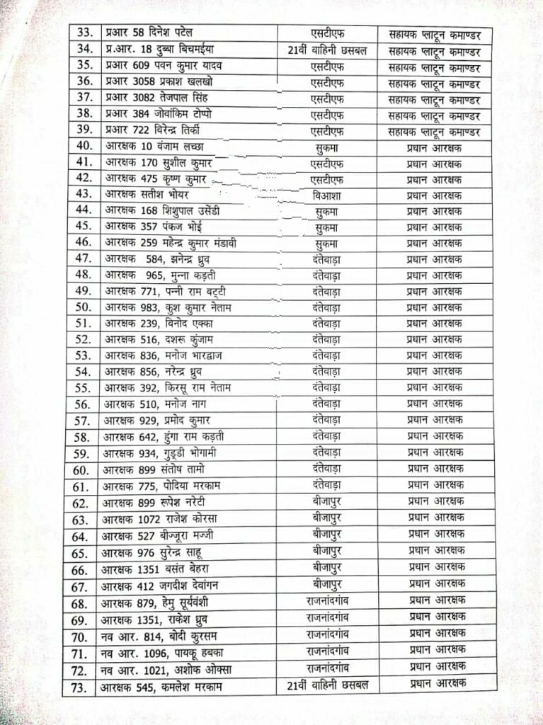
जारी आदेश अनुसार छत्तीसगढ़ में हुये विभिन्न पुलिस-नक्सली मुठभेड़ों में अदम्य साहस एवं वीरता का परिचय देने के फलस्वरूप पुलिस रेग्युलेशन के पैरा 70 ( क ) एवं सशस्त्र बल अधिनियम के पैरा-56 (3) में वर्णित प्रावधानों के अंतर्गत निम्नांकित अधि./कर्मचारियों को उनके नाम के सम्मुख दर्शाये गये पद पर क्रम-से-पूर्व पदोन्नति प्रदान किये जाने की अनुमति प्रदान की जाती है।



